致力于高品质橡胶助剂的研发、生产与销售。目前公司拥有SUNNYJOINT共30余种产品,包括促进剂、防老剂、硫化剂及其它专用助剂,同时提供充油、造粒及超细等不同形态的产品
产品详情>
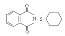
化学名称 | N-Cyclohexylthio Phthalimide |
分子式 | C14H15NO2S |
分子量 | 261.34 |
分子结构 |
|
重力 | 1.25-1.35 |
CAS号 | 17796-82-6 |
规格
外观 | 粉末 | 油包粉 | 颗粒 |
White | |||
熔点 ℃ | 90.0-94.0 | 90.0-94.0 | 90.0-94.0 |
干燥失重%≤ | 0.30 | 0.30 | 0.30 |
灰分%≤ | 0.30 | 0.30 | 0.30 |
含油量 % | -- | 1.0-2.0 | -- |
甲苯不溶物%≤ | 0.50 | 0.50 | 0.50 |
活性物质(CTP)≥ % | 97.0 | 97.0 | 97.0 |
特性
溶于丙酮、乙醚、乙丙酮、热四氯化碳和热酒精,微溶于汽油,不溶于煤油或水。
用途
是一种高效的预硫化抑制剂,适用于NR、SBR、BR、IIR、CR、EPDM、NBR。 广泛用于轮胎、皮带、管材等橡胶制品的生产。
包装: 25kg/袋
储存寿命: 24 个月
是一种高效硫化抑制剂,适用于天然橡胶SBR、BR、IIR、CR。 EPM、EPDM、NBR、使用磺胺和噻唑类促进剂的硫磺硫化体系。 加入少量可提高加工安全性,有利于加快橡胶制品的加工进程,节省材料和动力。 并且还可以提高橡胶材料的储存稳定性,并在储存时发明了自然硫化。 对高温或烧焦的橡胶材料具有再生复原作用。
OFFICIAL ACCOUNTS
公众号
ONLINE MESSAGE
请您留言

024-88816868